CDYBL Code of Conduct

Building character, respect, and sportsmanship on and off the court. Review our Code of Conduct guidelines for players and spectators.

Players Code of Conduct

Guidelines for all Albany Youth Basketball players to ensure a positive and respectful environment.

CDYBL Players Code of Conduct
Download PDF
CDYBL Code of Conduct for Players - Guidelines and expectations for all youth basketball players

Click image to enlarge for better readability

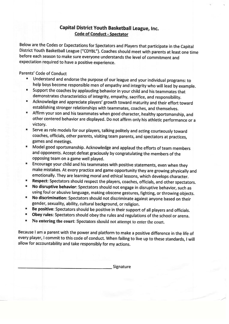
Spectators Code of Conduct

Guidelines for parents, family members, and fans to maintain a positive atmosphere at all games.

CDYBL Spectators Code of Conduct
Download PDF
CDYBL Code of Conduct for Spectators - Guidelines for parents, family members, and fans

Click image to enlarge for better readability